点这里关注我,记得标星哦~
一个定义为转换器的速率输出功率,而另一个定义为信号功率含量与频率的关系。本文对两者作进一步区分。功率密度
功率密度的基本定义是设备的额定(或标称)输出功率除以设备所占体积(体积=x·y·z)(图1)。功率密度的常用测量单位可以是瓦特每立方米 (W/m3 )或瓦特每立方英寸 (W/in.3 )。

功率谱密度基础知识
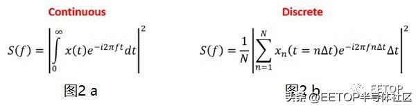
功率谱密度 (PSD) 是信号功率内容与频率的关系度量。PSD 让设计人员了解信号功率如何在频率上分布。通常选择 PSD 来表徵随机宽频信号(图 2)。

功率谱密度就是信号的傅里叶变换。
在离散情况时,如图2b所示,可以使用快速傅里叶变换 (FFT) 演算法计算 PSD。此外,在离散情况下,时域信号 x(t) 将包含 N 个样本,其中 n 是样本数(T 的总采样时间 = NΔt)。在离散情况下,积分下限将从 t = 0 开始,以说明因果信号行为。
设计师和科学家使用随机过程作为 他们系统的数学模型 ,以及看似随机变化的现象。
功率谱密度也可以通过不同的方法非常简单地计算出来;其中之一被称为改进的周期图法。该技术是对信号谱密度的估计,它是 FFT 的加窗平方幅度。周期图通常可用於识别时间序列的主要周期(或频率)。
激光束的功率密度
激光束的功率密度(又称辐照度)定义为以瓦特 (W) 为单位的功率 (P) 与横截面积 (I = W/cm 2 ) 之比。激光功率密度计算器非常方便。
激光束功率密度示例
总结
功率密度定义为转换器的额定(或标称)输出功率,然後除以该转换器的占用体积。
功率谱密度将给出信号功率如何在频率上分布的想法。PSD 被定义为衡量信号功率内容与频率的关系。PSD 通常用於表徵宽频随机信号。PSD的振幅由用於数字化信号的频谱解析度归一化。